Aller au contenu

TOURVES-EEPU

Un site pour notre école

  • Accueil
  • Présentation Ecole
  • Informations administratives
    • Elections représentants parents d’élèves
    • Parents élus
    • Conseils d’école
    • Règlement intérieur et autres documents
    • Informations périscolaires
    • Aides à la scolarité
  • Vie de l’école
  • Vie des classes
    • PS
    • CP-D
    • CP-Q
    • CE1-C
    • CE1-G
    • CE1-CE2
    • CE2-G
    • CE2-P
    • CE-CM1
    • CM1-N
    • CM1-CM2
    • CM2-L

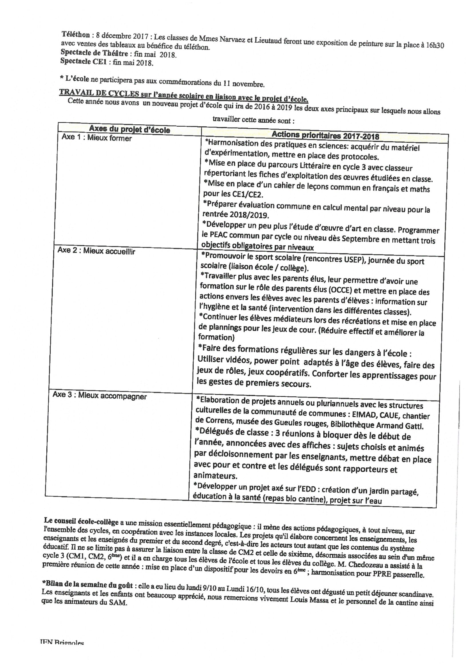
SMF552 Plus18020810070_0006

8 février 2018Pleine résolution (1653 × 2338)
← Précédent Suivant →

Liens institutionnels

Ministère de l’Éducation nationale, de l’Enseignement supérieur, et de la Recherche

education.gouv.fr

Région académique Provence-Alpes-Côte d’Azur
Services de l’éducation en région
Académie d’Aix-Marseille
Académie de Nice

Direction des services départementaux du Var
D.S.D.E.N. 83

Direction des services départementaux des Alpes-Maritimes
D.S.D.E.N. 06

Ville de Tourves
Ville de Tourves

Annuaire

L’annuaire des écoles, collèges, lycées, cio
Démarches administratives
MonServicePublic.fr
Education
Agir contre le harcèlement à l’École
CNED

Autres liens

à compléter par l’équipe pédagogique

Fièrement propulsé par WordPress